Electrical conductivity
How to run electron simulations
This is work in progress
To run the simulation for electrons, use the -e
flag as follows:
freepaths -e my_input_file.py
Formalism
Essentially, we want to solve the Boltzmann transport equation:

We use the relaxation time approximation to compute the collision term:

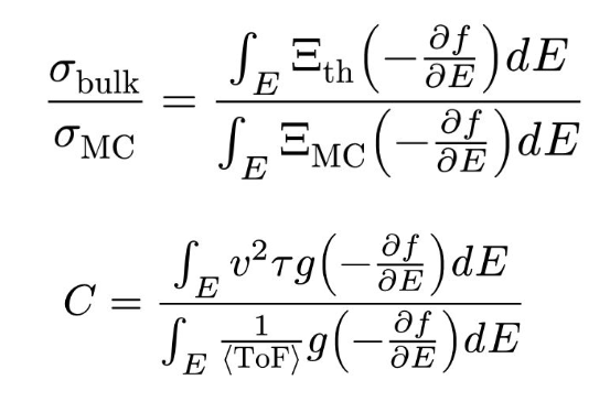
And we can compute the average time of flight τ(E) , i.e. the time it takes for an electron to travel from one side of the structure to another. Once it is known, we can compute the physical quantities:

Also, we want our prediction to match the bulk electron conductivity before we proceed to the calculations on nanostructures, so we need to compute the mapping constant as:

To be continued...
References
Priyadarshia and Neophytou, J. Appl. Phys. 133, 054301 (2023)
Last updated